产品新闻

产品新闻

行业关注 - 那些年,有关NMN的临床试验

2022-06-10 13:00:05 古特生物

古特生物

人口老龄化是最大的全球挑战之一,据联合国报道到2050年,世界60岁以上人口的比例将几乎翻一番。衰老的必然过程导致了各种生理功能下降,包括运动功能、视力、听力、免疫和认知功能。这些下降进一步导致与衰老相关的疾病,如糖尿病、癌症和痴呆症。


100多年前,NAD+被发现是真核生物中非常重要的代谢氧化还原辅酶,是大量酶促反应的重要组成部分,现在认为人体内的NAD+水平会随着衰老而耗尽,它与线粒体能量产生的下调、氧化应激、DNA损伤、认知障碍和炎症状况有关。然而,NMN作为NAD+的前体,可以通过提高体内NAD+水平来减缓这一过程。


近年来,NMN作为可口服的NAD+前体被广泛研究,在保健食品市场热度高居不下,美国大规模地批准了NMN的研发和生产,拥有全世界最为庞大的NMN研发与生产体系;日本则是最早进行NMN人体临床试验的国家,并且已经批准NMN进入健康食品的原料目录,向全社会推广。


NMN动物实验在世界范围内自2013年后快速增长,每年发表论文的数量都达到1,000篇以上。从2021年开始,美国和日本的科研团队率先填补了NMN人体临床试验的空白。迄今为止,已有四项临床试验检查了NMN对人类口服给药的安全性和有效性。这些研究表明,口服NMN总体上是安全且可耐受的。

古特生物

2020年日本公布了一项临床试验,以调查10名健康男性单次 NMN给药的安全性。

古特生物

通过单次口服100、250和500mgNMN进行单臂非随机干预。每次干预后5小时研究临床发现和参数以及NMN代谢物的药代动力学。干预前后还进行了眼科检查和睡眠质量评估。单次口服NMN不会引起任何明显的临床症状或心率、血压、氧饱和度和体温的变化。实验室分析结果没有显示出显着变化,除了血清胆红素水平升高和血清肌酐、氯化物和血糖水平降低在正常范围内,与NMN的剂量无关。眼科检查和睡眠质量评分结果显示干预前后无差异。N-methyl-2-pyridone-5-carboxamide 和N-methyl-4-pyridone-5-carboxamide 的血浆浓度通过 NMN给药剂量依赖性显着增加。


试验证明,单次口服NMN在健康男性中是安全且有效的代谢,不会造成任何显着的有害影响。因此,发现NMN的口服给药是可行的,这暗示了一种潜在的治疗策略来减轻人类与衰老相关的疾病。

古特生物

2021年4月22日,来自华盛顿大学医学院人类营养中心的Samuel Klein研究团队在Science上发表题为Nicotinamide mononucleotide increases muscle insulin sensitivity in prediabetic women的研究文章,他们的研究结果显示NMN可以增强受试人群肌肉组织的胰岛素敏感性。

古特生物

研究团队进行了一项为期10周的随机、安慰剂对照、双盲试验,以评估补充NMN对超重或肥胖的绝经后前驱糖尿病妇女代谢功能的影响。胰岛素刺激的葡萄糖处理(通过使用高胰岛素-正常血糖钳进行评估)和骨骼肌胰岛素信号传导在补充NMN后增加,但在安慰剂治疗后没有改变。NMN补充剂上调了血小板衍生生长因子受体 β 和其他与肌肉重塑相关的基因的表达。

古特生物

这些结果表明,NMN增加了超重或肥胖的前驱糖尿病女性的肌肉胰岛素敏感性、胰岛素信号传导和重塑。

古特生物

2021年有研究团队调查了运动训练和NMN对健康业余跑步者心血管健康的影响。

古特生物

在这项研究中,研究团队进行了为期六周的随机、双盲、安慰剂对照、四臂临床试验,包括广州珠江跑步队的48名中青年休闲训练跑者。参与者被随机分为四组:低剂量组(300毫克/天NMN)、中剂量组(600毫克/天NMN)、高剂量组(1200毫克/天NMN)和对照组(安慰剂)。每组由十名男性参与者和两名女性参与者组成。每次训练40-60分钟,跑者每周训练5-6次。在基线和干预后6周进行心肺运动测试,以评估跑步者的有氧能力。

古特生物

研究结果表明,运动训练结合补充NMN可进一步提高业余跑步者的通气阈值,其益处与剂量相关且与肌肉相关。有氧能力的提高呈剂量依赖性,大剂量的NMN配合运动效果更好。

古特生物

2022年4月份,日本公布了一项NMN安全且有效地增加健康受试者的血液NAD+水平的试验结果。

古特生物

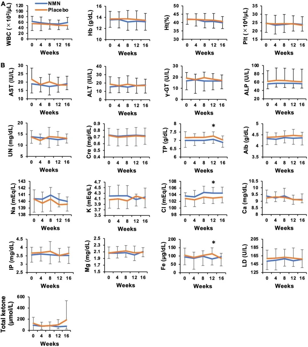
研究招募了42名健康的日本成年志愿者进行慰剂对照、随机、双盲、平行组试验,健康志愿者每天接受250mgNMN(n=15)或安慰剂(n=15),持续12周,在此期间进行生理和实验室测试。此外,还检测了全血中的 NAD +及其相关代谢物。

古特生物

在第 0 周(开始服用NMN或安慰剂之前)、第 4 周、第 8 周、第 12 周和第 16 周(结束服用NMN或安慰剂后4周)进行血液检查。NMN组与安慰剂组除12周时的总蛋白、血清氯化物和血清铁均在正常范围内外,无显着差异。肝酶、肾功能、其他血清电解质和全血细胞计数均在正常范围内,NMN 组和安慰剂组之间没有显着差异。

古特生物

▲在NMN口服给药安全性评估的实验室数据中未观察到不良事件


试验数据表明,口服 250 毫克/天的 NMN 12 周对健康人来说既可以耐受又安全。


在第 0 周(开始施用 NMN 或安慰剂之前)、4、8、12 和 16 周(完成施用 NMN 或安慰剂后 4 周)进行全血中 NAD 代谢组的测量。在本研究中,NAD+、NMN、NAM、NA、NAMN、NAR、NAAD 和 MNAM的量是在富山大学通过 LC/MS 测量的。NMN组和安慰剂组在基线(0 周)的全血NAD代谢组水平具有可比性。口服NMN或安慰剂后,NMN 治疗组的NAD+水平在 4、8、12 周时显着增加,然后在16 周后恢复到基础水平。这一结果也得到了个别数据的证实,这些数据显示了NMN治疗组中NAD+水平的桥形转变。相比之下,NMN或安慰剂给药后NMN水平没有增加,并且在两组之间具有可比性。


此外,两组之间的NR和NAM水平没有显着变化。值得注意的是,NMN组的NAMN水平在4、8和12周时显着增加,然后在16周时恢复到基础水平。NMN组NAMN水平的个体数据也显示出类似于NAD+的桥形过渡水平。在本研究中,NA、NAR、NAAD 和 MNAM 水平在两组之间在任何时间点均保持不变。

古特生物

▲口服NMN增加了血液中NAD+和NAMN的水平


本次试验证明,每天服用250毫克NMN,持续12周对健康个体来说是一种安全且耐受性良好的做法。此外,在NMN治疗组中,全血中的NAD+水平显着增加。这些结果表明,口服NMN是安全的,并且可以成为提高人体NAD+水平的实用策略。

古特生物

*特别说明 - 本文仅作资讯科普用途,不能代替医生的治疗诊断和建议,不应被视为对所涉医疗产品的推荐或功效证明。涉及疾病诊断、治疗、康复相关的,请务必前往专业医疗机构就诊,寻求专业意见。

标签: NMN, NAD,